CENTRIFUGALNE P.T.O. (TRAKTORSKE) PUMPE ZA NAVODNJAVANJE
.
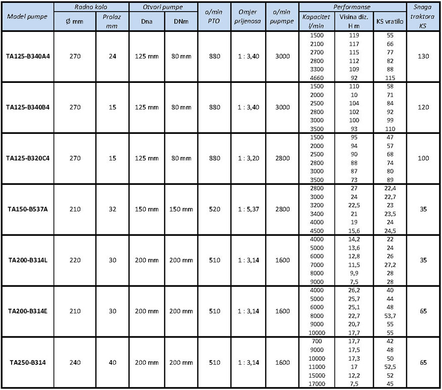
JEDNOSTUPANJSKE
 
Jednostupanjske centrifugalne PTO traktorske pumpe

Imate pitanje za nas? ..... > naš on-line e-kontakt obrazac
Za sva pojašnjenja, dodatne tehničke informacije, kataloške listove,
pomoć pri odabiru ili konfiguraciji proizvoda
OBRATITE SE S POVJERENJEM
na naše kontakte.
DABAL OPREMA d.o.o. distibuira programe na područja Hrvatske, Slovenije, Srbije, BiH, Kosova, Crne gore i Makedonije.